|
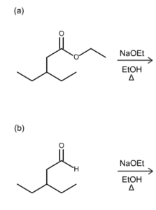
Draw the most stable product formed in each of the following reaction |
![]() |
|
Solution:- (a) The base abstracts the α-hydrogen of the reactant and this acts as a nucleoplile and attacks the carbonyl carbon of the other molecule followed by the loss of ethanol gives the final product as shown below. (b) The base abstracts the α-hydrogen of the reactant and this acts as a nucleophile and attacks the carbonyl carbon of the other molecule followed by the loss of water gives the final product as shown below. This is an example of aldol condensation reaction. |
|




